目次
みなさん、勉強おつかれさまです!!
前回の単元では、「体積弾性率」と「等温操作の時の体積弾性率」
について勉強しました。
今回は、この体積弾性率というもの
1.体積弾性率
まずは、体積弾性率についての復習です!!
体積弾性率
物体に力を加えた時にどれくらい変形しにくいを表す量
$$\kappa =-V \frac{dp}{dV}$$
\(p\):気体の圧力
はい!体積弾性率というものは、
「大きいほど変形しづらく、小さいほど変形しやすい」です。
この単元では、\(\kappa =-V \frac{dp}{dV}\)の式の \(p\) に
2.理想気体の体積弾性率(断熱操作)
前回は、「等温操作のときの体積弾性率」を計算しました。
今回は、「断熱操作」です!!
断熱操作というのは、イメージ的には、
「熱の出入りが全くないようにした環境」
イメージ的には、外の世界とのやりとりをシャッタアウトした世界です。
そして、いま考えている状態、つまり
「断熱操作での理想気体」を考えるとき
ある法則を使うことができます。。
それはなにかというと、「ポワソンの法則」です。
ポワソンの法則
理想気体の断熱変化を考える時、
断熱変化で状態が変化するとき、以下の式が成り立つ。
\(pV^{\gamma}=c\)(\(c\):定数)
\( \gamma=\frac{C_p}{C_v}\)
この式も今回の計算で使っていきますので、
押さえておきましょう!!
わからなくなったら、いつでも戻ってきましょうね!!
ここでひと段落つきましょうか、、
よく体力を回復してから次の単元に行きましょう!!笑
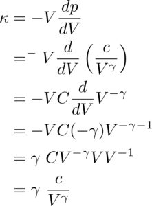
導出
それでは、実際に計算していきましょう。
まず、ポワソンの法則を変形します。
を、体積弾性率\( \gamma\)の定義
$$\kappa =-V \frac{dp}{dV}$$
に代入して計算して行きます。ここからは
単純な計算なので自分で式を追ってみましょう。

さて、ここまで計算することができたでしょうか?
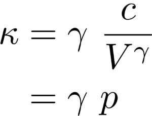
そして、最後の締めにあることをします!
ここで、ポワソンの法則を思い出してみます!

これを使うと、最後の結果を少し変形できることに
気がつくでしょうか、、
はい!整理すると、

つまり、断熱操作の場合
「体積弾性率=\( \gamma \times 圧力\)」
となるのです!!
となります!!
理想気体の体積弾性率(断熱操作の場合)
理想気体の体積弾性率は、等温操作の場合
$$ \kappa = \gamma p$$
となる。
\(p\):気体の圧力
まとめ
体積弾性率:物体に力を加えた時にどれくらい変形しにくいを表す量
特に、断熱操作の場合は、
$$ \kappa = \gamma p$$
となる。
この単元は以上です!お疲れ様でした!



コメントを残す